Mempunyai sumber kewangan yang mencukupi. Permohonan Pelepasan Taraf Kewarganegaraan Di Bawah Perkara 23 Perlembagaan.
Panduan Memohon Pengiktirafan Status Bumiputera Services Pdf
Hantarkan dokumen permohonan beserta bayaran kepada kami.
Cara memohon status bumiputera. Tiada lagi penghantaran borang ke Menara MITI. Hanya dua jenis daftar MOF yang boleh terbuka untuk orang awam iaitu akaun asas had tender RM20000 kebawah atau akaun MOF kontraktor had tender RM20000 keatas. Berumur 18 tahun ke atas.
Jawatan Kosong 2019 di Universiti Sains Islam Malaysia USIM Universiti Sains Islam Malaysia sebuah Institusi Pengajian Tinggi Awam yang ditubuhkan di bawah Akta Universiti dan Kolej Universiti mempelawa warganegara Malaysia yang berumur tidak kurang dari 18 tahun pada tarikh tutup iklan yang berkelayakan untuk mengisi jawatan-jawatan yang berikutSejarah. Untuk memuat naik kad pengenalan tu. Status lesen cidb syarikat anda g1g2g3g4g5g6g7 masukkan data untuk semakan.
Semak status permohonan kontraktor carian kontraktor carian personel 03 semakan. 3 Isikan semua maklumat seperti yang dikehendaki. Keempat klik simbol lampu di.
Cara untuk mendaftar sebagai pelabur ONLINE saham bumiputera MITI. CARA DAFTAR AKAUN MOF. The validity of Bumiputera status is accordance to the validity of the MOF license.
Satu lagi cara lain adalah melalui MITI yang peruntukkan jualan Saham Khas Bumiputera. Tema berubah setiap tahun. Mestilah berwarganegara Malaysia dan bertaraf Bumiputera.
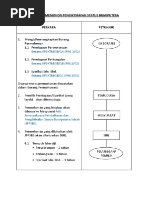
Daftar Bertaraf Bumiputera 51 Syarikat dimiliki oleh Warganegara Malaysia dari segi penguasaan dan pegangan ekuiti Lembaga Pengarah Pengurusan kakitangan strukturcarta organisasi dan fungsi pengurusan sekurang- kurangnya 51 oleh Bumiputera. Pendaftaran koperasi yayasan dan Kata Laluan. Permohonan pengiktirafan taraf Bumiputera adalah perkhidmatan yang ditawarkan secara percuma tanpa sebarang caj.
Therefore a Bumiputera license is required for the tender application. Cara-cara memohon saham melalui Sistem Saham Online. 16 Syarat-Syarat AM PK2 Lampiran 23.
Disini kami kongsikan caranya semoga membantu. Berikut diterangkan cara-cara untuk mendaftar akaun MOF melalui eperolehan. Muat turun borang berikut.
1 Mula sekali pilih jenis pelabur pilihlah individu. Dokumen yang diperlukan untuk permohonan individu. Pelajar adalah tidak layak memohon.
The requirement to apply. Bumiputera dilakukan sendiri oleh syarikat seterusnya meningkatkan keselamatan maklumat integriti dan urus tadbir korporat. Dengan pelaksanaan Sistem Satu Pendaftaran Kontraktor semua agensi pelaksana yang terlibat dengan urusan berkaitan perolehan dikehendak Post a Comment Read more Sample Sijil Penghargaan.
Terdapat beberapa cara untuk mengumpul mata ccd cidb. Portal e Rumah dibangunkan bagi memberi kemudahan kepada rakyat negeri Johor dalam memohon RMBJ Lot Bumiputera dan juga Projek Perumahan Rakyat PPR. Jawatan Ketua Eksekutif Pengarah Urusan.
Permohonan pendaftaran CIDB Kontractor. Pelabur MITI perlu membuat permohonan secara dalam talian online. Pertama anda perlu ada akaun cds.
Lihat apa makluman terbaru seperti contoh gambar di bawah makluman tentang syarikat SIAB HOLDINGS BERHAD di buka untuk di MOHON di MITI. Permohonan Taraf Kewarganegaraan Di Bawah Perkara 19 Perlembagaan Persekutuan Berumur 21 Tahun Atau Lebih. Hantar borang yang sudah lengkap diisi bersama-sama salinan asal dokumen sokongan senarai dokumen seperti yang dimaklumkan dalam borang senarai semak permohonan ke cawangan Mybank yang berhampiran.
Tema Projek SUPERB 2020. Peruntukan saham ini terlebih dahulu diumumkan sebelum dibuka untuk cabutan awam melalui IPO. APA ITU PORTAL eRUMAH.
Permohonan Taraf Kewarganegaraan Di Bawah Perkara 15 2 Perlembagaan Persekutuan Anak Kepada Warganegara Yang Berumur Kurang Daripada 21 Tahun. Teruskan bacaan untuk cara-cara memohon saham melalui MITI. Pusat Khidmat Kontraktor PKK adalah tidak bertanggungjawab ke atas apa-apa kerugian kepada syarikat melalui.
Klik menu new registration untuk mendaftar maklumat syarikat. Bermakna anda berpeluang untuk beli saham ini lebih awal sebelum ianya dijual kepada orang awam. Monday to Friday 900am 530pm Saturday 900am 100pm Office03.
2 Kemudian tekan daftar. Log masuk ke dalam sistem saham online menggunakan ID no kad pengenalan no SSM no. Berumur 21 tahun hingga 40 tahun.
Cara Mohon IPO MITI. Salinan kad pengenalansurat pengesahan status Bumiputera yang jelas. Kedua pergi ke website MITI.
STATUS BUMIPUTERA Permohonan Bumiputera kementerian kewangan hanya boleh dipohon untuk syarikat yang telah mempunyai Sijil Kementerian Kewangan Syarikat-syarikat hanya diiktiraf sebagai syarikat bumiputera selepas membuat permohonan Status Bumiputera Kementerian Kewangan Syarat-syarat dan kelayakan wajib dipenuhi untuk memohon Syarikat Status. Permohonan Saham Khas Bumiputera. C Sekurang-kurangnya 51 daripada Ahli Lembaga Pengarah dipegang oleh Bumiputera bagi Gred G2 hingga G7 manakala 100 bagi Gred G1.
Langkah daftar MOF akaun asas 1. Syarat Kelayakan Memohon SUPERB TERAJU. Ketiga tekan log masuk dan masukkan id dan password anda dan akan terpapar IPO terkini.
Cara Mudah Untuk Memohon. Baki 49 saham boleh dikuasai oleh bukan Bumiputera dan asing. Definition of Bumiputera company for Taraf Bumiputera or Bumiputera Status.
Bagi tahun ini tema-tema. E Status Bumiputera Untuk membaca atau mencetak dokumen yang disediakan dalam format PDF sila pastikan bahawa Acrobat Reader telah dipasang. Laman ini sesuai dipaparkan dengan Internet Explorer 80 Mozilla Firefox 35 dalam 1024 768 resolusi skrin.
Borang senarai semak permohonan SPP1M. Permohonan boleh dibuat secara individu atau melalui syarikat yang ditubuhkan tidak lebih dari 3 tahun dari tarikh memohon. Borang pengesahan status pelajar.
Terima sijil lesen kewangan syarikat anda setelah diluluskan. D Sekiranya majoriti saham syarikat dikuasai oleh syarikat lain syarikat yang memegang saham majoriti tersebut hendaklah mematuhi syarat a b dan c. Bukan Bumiputera bagi Gred G2 hingga G7 manakala 100 bagi Gred G1.
Isikan maklumat anda syarikat anda pada ruangan di bawah. Mengisi borang INDSP-QP07-L05 secara atas talian onlineborang. Syarat-syarat dan kelayakan wajib dipenuhi untuk memohon Syarikat Status Bumiputera.
There are tenders that open specifically for Bumiputera. Bagaimana cara untuk membuat permohonan melalui portal eRumah dan katogori rumah. According to the Malaysian Companies Act 1965 a Bumiputera company is a company in which at least 51 of the shares are held by Bumiputera and the majority of the companys Board of Directors are Bumiputera Syarikat yang majoriti sekurang-kurangnya 51 daripada hakmilik saham-saham.
Cara Mohon Pinjaman Pelajaran MARA Pemohon yang telah menerima surat tawaran melanjutkan pengajian ke KPTM atau mana-mana IPMa serta layak memohon mengikut syaratsyarat yang dinyatakan adalah dikehendaki membuat Permohonan Pinjaman Pelajaran MARA melalui Sistem Permohonan Pinjaman Pelajaran MARA yang hanya terbuka kepada. Maka banyaklah yang masih keliru cara untuk memohon kad hijau ini.

Status Bumiputera Lesenkewangan Com
Panduan Memohon Pengiktirafan Status Bumiputera Services Flip Ebook Pages 1 1 Anyflip

Permohonan Sijil Taraf Bumiputera

Jawatan Kosong Pensyarah Uitm 2020 Calm Artwork Calm Keep Calm Artwork